Check if directed graph is connected

Posted in

Check if directed graph is connected
vinaykhatri

Vinay Khatri
Last updated on February 11, 2025

    Problem

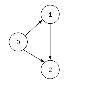
    Given a directed graph, check if it is connected or not.

    Sample Input

    Sample Output

    YES

    Explanation

    Start from 0, go to 1, and then 2; hence all the nodes of the graph are connected.

    Approach

    We will use the Depth First Search algorithm to solve this problem. We will traverse the given graph and keep marking nodes as visited, and check the required conditions to check the connected component. Below is the algorithm to solve this problem:

    1. Consider two boolean arrays, vis1 and vis2, both of which are set to false.
    2. Begin with a random vertex in the graph and perform a Depth First Search.
    3. Make the current visited node vis1[v] = true.
    4. All of the edges should now be reversed in the direction.
    5. Begin Depth First Search at the vertex selected in step 2.
    6. Make the current visited node vis2[v] = true.
    7. The graph is not connected if any vertex v has vis1[v] = false and vis2[v] = false.

    C++ Programming

    #include <bits/stdc++.h>
    using namespace std;
    #define N 100000
    
    vector<int> adj1[N], adj2[N];
    
    bool vis1[N], vis2[N];
    
    void dfs1(int node)
    {
        vis1[node] = true;
    
        for (auto i : adj1[node])
            if (!vis1[i])
                dfs1(i);
    }
    
    void dfs2(int node)
    {
        vis2[node] = true;
    
        for (auto i : adj2[node])
            if (!vis2[i])
                dfs2(i);
    }
    
    bool solve(int n)
    {
        memset(vis1, false, sizeof vis1);
        dfs1(1);
    
        // reverse direction call
        memset(vis2, false, sizeof vis2);
        dfs2(1);
    
        for (int i = 0; i < n; i++) {
            // If any vertex it not visited in any direction, then graph is not connected
            if (!vis1[i] and !vis2[i])
                return false;
        }
        return true;
    }
    
    int main()
    {
        int n = 3;
    
        adj1[0].push_back(1);
        adj2[1].push_back(0);
        adj1[1].push_back(2);
        adj2[2].push_back(1);
        adj1[0].push_back(2);
        adj2[2].push_back(0);
    
    
        if (solve(n))
            cout << "YES";
        else
            cout << "NO";
    
        return 0;
    }

    Output

    YES

    Java Programming

    import java.util.*;
    
    class Solution
    {
        static int N = 1000;
    
        static Vector<Integer>[] adj1 = new Vector[N];
        static Vector<Integer>[] adj2 = new Vector[N];
    
        static boolean[] vis1 = new boolean[N];
        static boolean[] vis2 = new boolean[N];
    
        static {
            for (int i = 0; i < N; i++)
            {
                adj1[i] = new Vector<>();
                adj2[i] = new Vector<>();
            }
        }
    
        static void MakeGraph(int u, int v)
        {
            adj1[u].add(v);
            adj2[v].add(u);
        }
    
        static void dfs1(int x)
        {
            vis1[x] = true;
            for (int i : adj1[x])
                if (!vis1[i])
                    dfs1(i);
        }
    
        static void dfs2(int x)
        {
            vis2[x] = true;
            for (int i : adj2[x])
                if (!vis2[i])
                    dfs2(i);
        }
    
        static boolean solve(int n)
        {
            // Call for initial direction
            Arrays.fill(vis1, false);
            dfs1(1);
    
            // Call for reverse direction
            Arrays.fill(vis2, false);
            dfs2(1);
    
            for (int i = 1; i <= n; i++)
            {
                // If any vertex it not visited in any direction
                // Then graph is not connected
                if (!vis1[i] && !vis2[i])
                    return false;
            }
            return true;
        }
    
        public static void main(String[] args)
        {
            int n = 3;
    
            MakeGraph(1, 2);
            MakeGraph(2, 3);
            MakeGraph(1, 3);
    
            if (solve(n))
                System.out.println("YES");
            else
                System.out.println("NO");
        }
    }

    Output

    YES

    Python Programming

    N = 1000
    adj1 = {}
    adj2 = {}
    
    vis1 = [0] * N; vis2 = [0] * N;
    
    def CreateGraph(u, v):
        if u not in adj1 :
            adj1[u] = [];
            
        if v not in adj2 :
            adj2[v] = [];
            
        adj1[u].append(v);
        adj2[v].append(u);
    
    def dfs1(node) :
        vis1[node] = True;
        if node not in adj1 :
            adj1[node] = {};
            
        for i in adj1[node] :
            if (not vis1[i]) :
                dfs1(i)
    
    def dfs2(node) :
        vis2[node] = True;
    
        if node not in adj2 :
            adj2[node] = {};
            
        for i in adj2[node] :
            if (not vis2[i]) :
                dfs2(i);
    
    def solve(n) :
    
        global vis1;
        global vis2;
        # Call for correct direction
        vis1 = [False] * len(vis1);
        dfs1(1);
        
        # Call for reverse direction
        vis2 = [False] * len(vis2);
        dfs2(1);
       
        for i in range(1, n + 1) :
            # If any vertex it not visited in any direction
            # Then graph is not connected
            if (not vis1[i] and not vis2[i]) :
                return False;            
        return True;
    
    if __name__ == "__main__" :
        n = 3;
    
        CreateGraph(1, 2);
        CreateGraph(2, 3);
        CreateGraph(1, 3);
        
        if (solve(n)) :
            print("Yes");
    
        else :
            print("No");

    Output

    YES

    People are also reading:

    Leave a Comment on this Post

    0 Comments