Smallest Subtree with All Deepest Nodes

Posted in

Smallest Subtree with All Deepest Nodes
vinaykhatri

Vinay Khatri
Last updated on February 10, 2025

    Problem

    Given a binary tree, return the smallest subtree that has all the deepest nodes of the original tree. The deepest node is a node having maximum depth in the tree. You only need to return the root of the output subtree in the code.

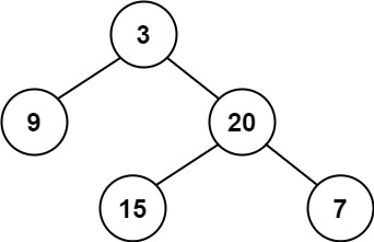
    Sample Input

    Sample Output

    20

    Explanation

    The deepest nodes are ‘15’ and ‘7,’ and the root of this smallest subtree is ‘20’

    Approach

    Using DFS, traverse the Binary Tree recursively. Determine the depth of each node's left and right subtrees. Traverse the left subtree if the depth of the left subtree is greater than the depth of the right subtree. Traverse the right subtree if the depth of the right subtree is greater than the depth of the left subtree. Otherwise, return the currently selected node.

    Complexity Analysis

    The time complexity is O(N), and the space complexity is also O(N)

    C++ Programming

    #include <bits/stdc++.h>
    using namespace std;
    
    struct TreeNode {
        int val;
        TreeNode* left;
        TreeNode* right;
    
        TreeNode(int data)
        {
            this->val = data;
            left = NULL;
            right = NULL;
        }
    };
    
    int getDepth(TreeNode* root)
    {
        if (!root)
            return 0;
    
        // If current node is a leaf node
        if (root->left == NULL
            && root->right == NULL)
            return 1;
    
        return max(getDepth(root->left),
                getDepth(root->right))
            + 1;
    }
    
    void solve(TreeNode* root, TreeNode*& ans)
    {
        if (!root)
            return;
    
        // height of left subtree
        int left = getDepth(root->left);
    
        // height of right subtree
        int right = getDepth(root->right);
    
        // If height of left subtree is more
        if (left > right) {
            // Traverse left subtree
            solve(root->left, ans);
        }
    
        // If height of right subtree is more
        else if (right > left) {
            solve(root->right, ans);
        }
    
        else {
    
            // Return current node
            ans = root;
            return;
        }
    }
    
    int main()
    {
        struct TreeNode* root= new TreeNode(1);
        root->left = new TreeNode(2);
        root->right = new TreeNode(3);
    
        TreeNode* ans = NULL;
        solve(root, ans);
    
        cout << ans->val;
    
        return 0;
    }

    Output

    1

    Java Programming

    import java.util.*;
    class Solution
    {
    
    static class TreeNode
    {
        int val;
        TreeNode left;
        TreeNode right;
        TreeNode(int data)
        {
            this.val = data;
            left = null;
            right = null;
        }
    };
    
    
    static int getDepth(TreeNode root)
    {
        if (root == null)
            return 0;
    
        // If current node is a leaf node
        if (root.left == null  && root.right == null)
            return 1;
    
        return Math.max(getDepth(root.left),getDepth(root.right)) + 1;
    }
    
    static TreeNode solve(TreeNode root, TreeNode ans)
    {
        if (root == null)
            return ans;
    
        // height of left subtree
        int left = getDepth(root.left);
    
        // height of right subtree
        int right = getDepth(root.right);
    
        // If height of left subtree is more
        if (left > right)
        {
            // Traverse left subtree
            ans = solve(root.left, ans);
        }
    
        // If height of right subtree is more
        else if (right > left)
        {
            ans = solve(root.right, ans);
        }
    
        else
        {
            ans = root;
            return ans;
        }
        return ans;
    }
    
    public static void main(String[] args)
    {
        TreeNode root = new TreeNode(1);
    
        root.left = new TreeNode(2);
    
        root.right = new TreeNode(3);
    
        TreeNode ans = null;
    
        ans = solve(root, ans);
    
        System.out.print(ans.val);
    
    }
    }

    Output

    1

    Python Programming

    class TreeNode:
        def __init__(self, x):
            self.val = x
            self.left = None
            self.right = None
    
    def getDepth(root):
        if (not root):
            return 0
    
        # If current node is a leaf node
        if (root.left == None and root.right == None):
            return 1
    
        return max(getDepth(root.left), getDepth(root.right)) + 1
    
    def solve(root):
        global ans
    
        if (not root):
            return
    
        # Stores height of left subtree
        left = getDepth(root.left)
    
        # Stores height of right subtree
        right = getDepth(root.right)
    
        # If height of left subtree is more
        if (left > right):
            # Traverse left subtree
            solve(root.left)
    
        # If height of right subtree is more
        elif (right > left):
            solve(root.right)
    
        else:
            ans = root
            return
    
    root = TreeNode(1)
    
    root.left = TreeNode(2)
    
    root.right = TreeNode(3)
    
    ans = None
    
    solve(root)
    
    print(ans.val)

    Output

    1

    People are also reading:

    Leave a Comment on this Post

    0 Comments